鸡肉中关键的易挥发不良风味化合物的鉴定以及多酚和香料提取物的除臭效果
2026-01-07
4427
来源:食品风味化学与感官分析公众号
简 介

1.题目
鸡肉中关键的易挥发不良风味化合物的鉴定以及多酚和香料提取物的除臭效果
2.期刊
Food Chemistry:X
3.单位
西华大学
4.作者
Houqi Ning , Aiping Yang, Wenjing Zhou, Songling Li, Yifang Tang, Wenbo Ma, Ping Liu
5.内容概要
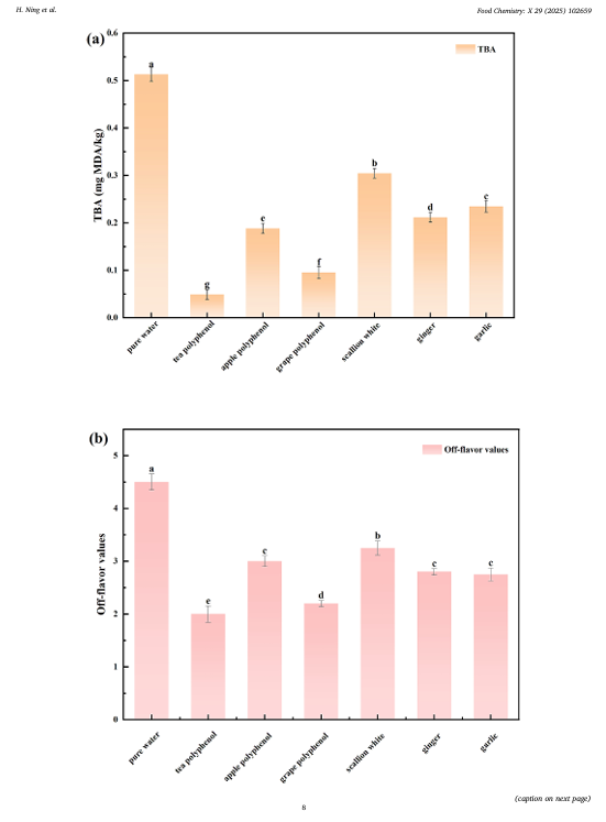
本研究确定了鸡肉中关键的挥发性异味化合物。这些化合物通过顶空固相微萃取(HS-SPME)、二维气相色谱 - 质谱法(GC x GC-MS)以及气相色谱 - 质谱 - 嗅觉法(GC- O-MS)进行了分析。在各种鸡肉中发现了 18 种挥发性风味化合物(气味活性值大于 1,风味强度大于 2),其中绿腿鸡所选的风味化合物数量最多(14 种)。这 14 种化合物被单独加入无味的鸡肉基质中,并通过二维气相色谱 - 质谱法进行定量分析。确定了 13 种关键风味化合物,并通过组合和排除实验进一步验证了这些结果。最终确定了 6 种关键异味化合物,即 1-辛烯-3-醇、庚醛、己醛、壬醛、癸醛、十二烷醛。此外。多酚和香料提取物显著降低了鸡肉中的异味,其中茶多酚的效果最为显著。它使鸡肉中的硫代巴比妥酸(TBA)水平和异味值分别降低了 90.6% 和 55.6%,同时还降低了 6 种关键异味化合物的浓度(p < 0.05)。
6.文章原文












点击链接下载《公众号自荐推荐文章登记表》论文登记表.doc
欢迎点击关注,并推荐转发。🌹🌹🌹
微信公众号
投诉邮箱
监督电话