探究共培养发酵对黑茶茶汤风味形成的影响
2025-11-12
4180
来源:食品风味化学与感官分析公众号
简 介

1.题目
探究共培养发酵对黑茶茶汤风味形成的影响:阐明由冠突散囊菌和水克非尔介导的微生物演替及代谢动态
2.期刊
Food Chemistry:X
3.单位
湖南农业大学
4.作者
Yao Gao, Rui Zhuo, Hong Luo, Chi-Tang Ho, Yulian Chen, Hui Zhou, Zhaoxia Qu, Huanyu Chen, Youjin Yi, Yuanliang Wang, Xiaozhen Peng, Mingzhi Zhu, Zhonghua Liu, Yu Xiao
5.内容概要
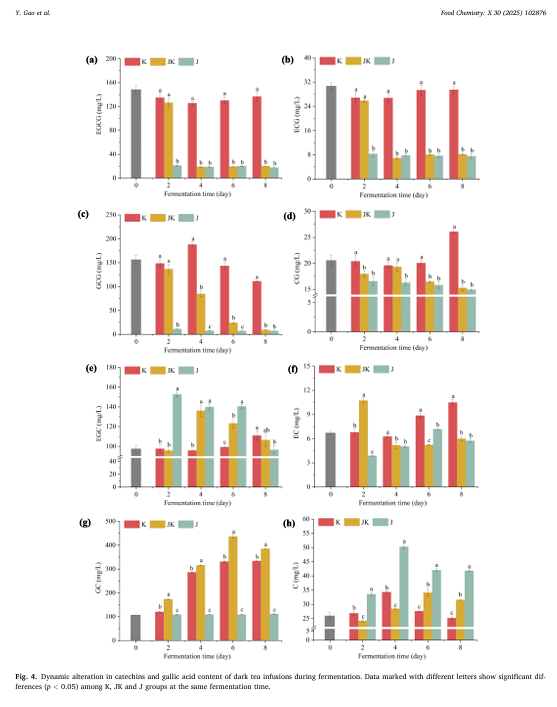
水格里菲斯菌(一种富含益生菌的培养物)和欧特米乌斯·克里斯塔特菌(福砖茶中的关键真菌)与黑茶浸液一起发酵,以研究挥发性有机化合物(VOCs)、微生物群落和生化成分的动态变化。共同发酵极大地改变了微生物组成,丰富了有益的乳酸菌(如酒乳酸杆菌、乳酸伊巴克菌),同时抑制了不良微生物(如酵母菌)。共发酵共鉴定出 65 种挥发性有机化合物,其中共发酵促进了花香、果香、薄荷香和陈腐香气(如芳樟醇、甲基水杨酸酯、苯乙酮),同时减少了异味(如 3-甲基丁酸)。多变量分析揭示了核心功能微生物群(如葡萄糖杆菌、乙酸杆菌、欧特米乌斯等)与风味形成密切相关。此外,共发酵调节了有机酸、游离氨基酸和儿茶素,改善了感官特性。感官评估证实了卓越的香气复杂性(增强了薄荷/花香的风味)和均衡的口感(减少了酸味/苦味/涩味特征)。这些研究结果表明,水克尔菌和 E. cristatum 的协同发酵能够显著改善黑茶的风味特征,为大规模工业化的益生菌茶饮料开发提供了一种极具前景的策略。
6.文章原文





















点击链接下载《公众号自荐推荐文章登记表》论文登记表.doc
欢迎点击关注,并推荐转发。🌹🌹🌹
微信公众号
投诉邮箱
监督电话